HighTech-Revolution aDNA

Das Max-Planck-Institut für evolutionäre Anthropologie erforscht die Menschheitsgeschichte durch vergleichende Studien zu Genen, Kultur, Kognition, Sprache und sozialen Systemen von Menschen und nahe verwandten Primaten. Mit dem Forscher Dr. Wolfang Haak arbeiten die Hallenser Archäologinnen und Archäologen schon seit längerem sehr erfolgreich zusammen.

 

Würden Sie sich bitte kurz vorstellen?

 

 

Wie kann es sein, dass sich DNA in Jahrtausende alten Knochen erhält?

Entnahme einer Probe aus einem Knochen für die Analyse alter DNA. © MPI-EVA

 

 

Wie wichtig ist die Entschlüsselung dieser DNA für die Archäologie?

 

 

Die Analyse alter DNA lieferte kürzlich Aufsehen erregende Ergebnisse für das Mesolithikum – können Sie die bitte kurz erläutern?

 

 

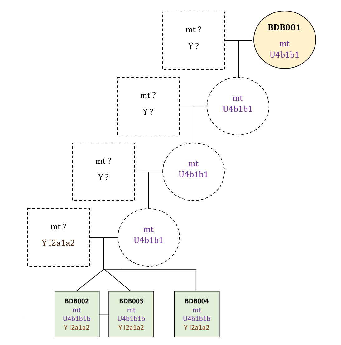
Sie haben neue Ergebnisse zu den Menschen im mesolithischen Grab von Bad Dürrenberg. Was war für Sie da besonders spannend?

Verwandtschaft ist manchmal kompliziert: Die Schamanin (gelber Kreis) könnte die Ur-Ur-Großmutter der drei Kinder (grüne Quadrate) sein. Zwischen ihnen liegen dann drei Generationen. Weitere Varianten sind möglich, um eine Verwandtschaft 4./5. Grades zu erklären – eine davon zeigen wir in der Ausstellung. © Wolfgang Haak, Max-Planck-Institut für evolutionäre Anthropologie Leipzig

 

 

Die Beiträge zum Nachlesen

Mehr erfahrenSchließenLearn moreClose

Würden Sie sich bitte kurz vorstellen?

Mein Name ist Wolfgang Haak. Ich bin Archäogenetiker am Max-Planck-Institut für evolutionäre Anthropologie in Leipzig. Dort entschlüsseln wir und vergleichen die Erbsubstanz von Individuen aus der Vergangenheit, also die DNA aus menschlichem Skelettmaterial, das aus archäologischen Kontexten kommt, also ausgegraben und geborgen wird.

Wie kann es sein, dass sich DNA in Jahrtausende alten Knochen erhält?

Das ist eher die Ausnahme als die Regel und hängt sehr stark von Bodenbedingungen und den Klimazonen ab. In tropischen Breiten zum Beispiel bleibt so gut wie nichts übrig. Hier in unseren gemäßigten Zonen in Mitteleuropa, vor allem im Regenschatten des Harzes oder auf kalkhaltigen Böden sind die Erhaltungsbedingungen wirklich sehr gut. Dann weiter oben im Norden auf sandigen und sauren Böden ist dann die Erhaltung schon wieder nicht sehr gut. Die alte DNA, die wir gewinnen, ist allerdings stark beschädigt und fragmentiert und wir brauchen daher in den Reinraumlaboren jede Menge Arbeitsschritte, um die DNA sauber aufzubereiten und analysefähig zu machen.

Wie wichtig ist die Entschlüsselung dieser DNA für die Archäologie?

Für die Archäologie würde ich behaupten, ist die Analyse alter DNA wirklich ein ganz wichtiges Werkzeug, da sie ja direkte Aussagen zu den Menschen selbst zulässt. Woher sie kommen zum Beispiel oder wie sie aussahen. Wir können mittlerweile auch Verwandtschaftsanalysen an kompletten Gräberfeldern durchführen. Und damit erfahren wir etwas zu sozialer Organisation und zu Gesellschaftsstrukturen, also zu Heirats- und Partnernetzwerken oder zum Beispiel, wie viele Kinder die Leute in der Vergangenheit im Durchschnitt hatten.

Die Analyse alter DNA lieferte kürzlich Aufsehen erregende Ergebnisse für das Mesolithikum – können Sie die bitte kurz erläutern?

Die mesolithischen Individuen aus Bad Dürrenberg und unserer Region hier sind Teil einer größeren mittel- und westeuropäischen Bevölkerungsgruppe, die sich nach dem Ende der letzten Kaltzeit aus Italien und Südosteuropa weiter nach Norden ausgebreitet hatte. Wir wissen zudem jetzt auch, dass diese Jäger und Sammler von der äußeren Erscheinung her dunklere Haut- und Haarfarbe hatten, aber im Gegensatz dazu hellere Augenfarbe als die meisten heutigen Europäer.

Sie haben neue Ergebnisse zu den Menschen im mesolithischen Grab von Bad Dürrenberg. Was war für Sie da besonders spannend?

Ja, zunächst einmal ist ja die Skeletterhaltung wirklich phänomenal. Und das ist ja auch in der Ausstellung zu sehen. Damit war dann auch die DNA-Erhaltung wirklich sehr gut, sodass wir von der Schamanin beispielsweise ein komplettes Genom rekonstruieren konnten. Spannend ist dann natürlich die vergleichende Analyse mit den drei Kindern, die ja ebenfalls zum Grabkontext gehören. Und hier haben wir herausgefunden, dass diese drei Kinder drei Brüder sind, zwei davon sogar Zwillinge, und die wohl, jetzt wird es kompliziert, zu unterschiedlichen Zeiten gestorben sind und eventuell sogar nachbestattet wurden. Die erwachsene Frau, also unsere Schamanin wiederum, ist nicht die leibliche Mutter, sondern etwas entfernter verwandt, ungefähr im 5. Grad. Das könnte dann die Cousine 2. Grades sein oder die Ur-Ur-Ur-Großmutter. Aber dann, was wirklich spannend ist, ist diese Zusammenschau aller Befunde, vor allem diese tollen archäologischen Grabbeigaben. Und es ist wirklich ein einzigartiger Einblick in die Vorgeschichte Mitteleuropas.